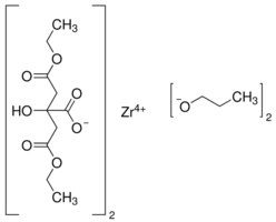
Zirconium(IV) bis(diethyl citrato)dipropoxide

CAS Number308847-92-9
FormulaC26H44O16Zr
Mol. Weight703.84 g/mol
Zirconium(IV) bis(diethyl citrato)dipropoxide
What is Zirconium(IV) bis(diethyl citrato)dipropoxide?
Zirconium(IV) bis(diethyl citrato)dipropoxide is a chemical compound with CAS number 308847-92-9 and molecular formula C26H44O16Zr. It is used in various industrial and research applications.
Specifications
Molecular Weight
703.84 g/mol
Impurities
12% ethanol and 1-propanol
Density
1.14 g/mL at 25 °C(lit.)
Safety Information
GHS02
GHS05Signal Word
Danger
Hazard Statements
H225-H318
Precautionary Statements
P210-P280-P305 + P351 + P338
WGK Germany
3
