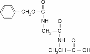
Z-Gly-Ala

CAS Number3079-63-8
FormulaC13H16N2O5
Mol. Weight280.28 g/mol
Z-Gly-Ala
What is Z-Gly-Ala?
Z-Gly-Ala is a chemical compound with CAS number 3079-63-8 and molecular formula C13H16N2O5. It is used in various industrial and research applications.
Specifications
Molecular Weight
280.28 g/mol
