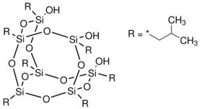
1,3,5,7,9,11,14-Heptaisobutyltricyclo[7.3.3.15,11]heptasiloxane-endo-3,7,14-triol
![1,3,5,7,9,11,14-Heptaisobutyltricyclo[7.3.3.15,11]heptasiloxane-endo-3,7,14-triol chemical structure](https://pub-f4d920c906024441a773a96f7098e551.r2.dev/images/products/307531-92-6.png)
CAS Number307531-92-6
Formula5
Mol. Weight791.41 g/mol
1,3,5,7,9,11,14-Heptaisobutyltricyclo[7.3.3.15,11]heptasiloxane-endo-3,7,14-triol
What is 1,3,5,7,9,11,14-Heptaisobutyltricyclo[7.3.3.15,11]heptasiloxane-endo-3,7,14-triol?
1,3,5,7,9,11,14-Heptaisobutyltricyclo[7.3.3.15,11]heptasiloxane-endo-3,7,14-triol is a chemical compound with CAS number 307531-92-6 and molecular formula 5. It is used in various industrial and research applications.
Specifications
Molecular Weight
791.41 g/mol
Assay/Purity
97%
Frequently Asked Questions
Alternative Names & Synonyms
7,9,11,14-Heptaisobutyltricyclo[7.3.3.15,11]heptasiloxane-endo-3,7,14-triol,307531-92-6, C28H66O12Si7
