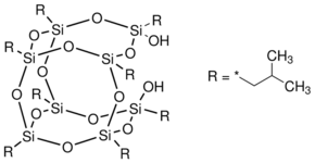
1,3,5,7,9,11-Octaisobutyltetracyclo[7.3.3.15,11]octasiloxane-endo-3,7-diol
![1,3,5,7,9,11-Octaisobutyltetracyclo[7.3.3.15,11]octasiloxane-endo-3,7-diol chemical structure](https://pub-f4d920c906024441a773a96f7098e551.r2.dev/images/products/307531-90-4.png)
CAS Number307531-90-4
Formula5
Mol. Weight891.61 g/mol
1,3,5,7,9,11-Octaisobutyltetracyclo[7.3.3.15,11]octasiloxane-endo-3,7-diol
What is 1,3,5,7,9,11-Octaisobutyltetracyclo[7.3.3.15,11]octasiloxane-endo-3,7-diol?
1,3,5,7,9,11-Octaisobutyltetracyclo[7.3.3.15,11]octasiloxane-endo-3,7-diol is a chemical compound with CAS number 307531-90-4 and molecular formula 5. It is used in various industrial and research applications.
Specifications
Molecular Weight
891.61 g/mol
Assay/Purity
97%
Frequently Asked Questions
Alternative Names & Synonyms
7,9,11-Octaisobutyltetracyclo[7.3.3.15,11]octasiloxane-endo-3,7-diol,307531-90-4, C32H74O13Si8
