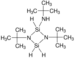
1,3-Di-tert-butyl-2-(tert-butylamino)-1,3-diaza-2,4-disilacyclotetrane

CAS Number302912-46-5
FormulaN/A
Mol. Weight273.57 g/mol
1,3-Di-tert-butyl-2-(tert-butylamino)-1,3-diaza-2,4-disilacyclotetrane
What is 1,3-Di-tert-butyl-2-(tert-butylamino)-1,3-diaza-2,4-disilacyclotetrane?
1,3-Di-tert-butyl-2-(tert-butylamino)-1,3-diaza-2,4-disilacyclotetrane is a chemical compound with CAS number 302912-46-5. It is used in various industrial and research applications.
Specifications
Molecular Weight
273.57 g/mol
Assay/Purity
95%
Boiling Point
92-95 °C/0.3 mmHg(lit.)
Density
0.88 g/mL at 25 °C(lit.)
Safety Information
GHS07Signal Word
Warning
Hazard Statements
H315-H319-H335
Precautionary Statements
P261-P305 + P351 + P338
Required PPE
Eyeshields, full-face respirator (US), Gloves, multi-purpose combination respirator cartridge (US), type ABEK (EN14387) respirator filter
WGK Germany
3
Frequently Asked Questions
Alternative Names & Synonyms
4-disilacyclotetrane,302912-46-5, C12H31N3Si2
