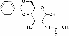
2-Acetamido-4,6-O-benzylidene-2-deoxy-D-glucopyranose Mixed anomers

CAS Number29776-43-0
FormulaN/A
Mol. Weight309.31 g/mol
2-Acetamido-4,6-O-benzylidene-2-deoxy-D-glucopyranose Mixed anomers
What is 2-Acetamido-4,6-O-benzylidene-2-deoxy-D-glucopyranose Mixed anomers?
2-Acetamido-4,6-O-benzylidene-2-deoxy-D-glucopyranose Mixed anomers is a chemical compound with CAS number 29776-43-0. It is used in various industrial and research applications.
Specifications
Molecular Weight
309.31 g/mol
Frequently Asked Questions
Alternative Names & Synonyms
C15H19NO6
