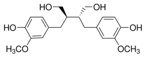
Secoisolariciresinol

CAS Number29388-59-8
FormulaC20H26O6
Mol. Weight362.42 g/mol
Secoisolariciresinol
What is Secoisolariciresinol?
Secoisolariciresinol is a chemical compound with CAS number 29388-59-8 and molecular formula C20H26O6. It is used in various industrial and research applications.
Specifications
Molecular Weight
362.42 g/mol
Assay/Purity
≥95.0% (HPLC)
