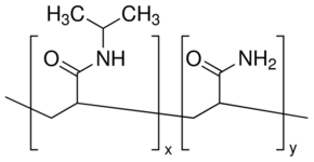
Poly(N-isopropylacrylamide-co-acrylamide)

CAS Number28500-83-6
FormulaN/A
Poly(N-isopropylacrylamide-co-acrylamide)
What is Poly(N-isopropylacrylamide-co-acrylamide)?
Poly(N-isopropylacrylamide-co-acrylamide) is a chemical compound with CAS number 28500-83-6. It is used in various industrial and research applications.
Specifications
Linear Formula
(C6H11NO)x (C3H5NO)y
