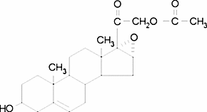
16,17-Epoxy-21-acetoxypregnenolone

CAS Number28444-97-5
FormulaN/A
Mol. Weight388.50 g/mol
16,17-Epoxy-21-acetoxypregnenolone
What is 16,17-Epoxy-21-acetoxypregnenolone?
16,17-Epoxy-21-acetoxypregnenolone is a chemical compound with CAS number 28444-97-5. It is used in various industrial and research applications.
Specifications
Molecular Weight
388.50 g/mol
Assay/Purity
≥98%
Frequently Asked Questions
Alternative Names & Synonyms
C23H32O5
