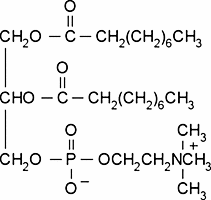
1,2-Dinonanoyl-sn-glycero-3-phosphocholine

CAS Number27869-45-0
FormulaN/A
Mol. Weight537.67 g/mol
1,2-Dinonanoyl-sn-glycero-3-phosphocholine
What is 1,2-Dinonanoyl-sn-glycero-3-phosphocholine?
1,2-Dinonanoyl-sn-glycero-3-phosphocholine is a chemical compound with CAS number 27869-45-0. It is used in various industrial and research applications.
Specifications
Molecular Weight
537.67 g/mol
Assay/Purity
~99% (TLC)
Safety Information
GHS06
GHS08Signal Word
Danger
Hazard Statements
H301-H311-H315-H319-H331-H335-H350
Precautionary Statements
P201-P261-P280-P301 + P310-P305 + P351 + P338-P311
Required PPE
Eyeshields, Faceshields, full-face respirator (US), Gloves, multi-purpose combination respirator cartridge (US), type ABEK (EN14387) respirator filter
WGK Germany
3
Frequently Asked Questions
Alternative Names & Synonyms
C26H52NO8P
