tert-Butyl diethylphosphonoacetate

tert-Butyl diethylphosphonoacetate
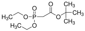
What is tert-Butyl diethylphosphonoacetate?
tert-Butyl diethylphosphonoacetate is a chemical compound with CAS number 27784-76-5. It is used in various industrial and research applications.
Applications
Reactant for:
• Preparation of ydroxymethylated dihydroxyvitamin D3 analogs via Wittig-Horner approach, as potential antitumor agents1
• Synthesis of phosphopeptide mimetic prodrugs targeted to Src homology 2 (SH2) domain of signal transducer and activator of transcription 3 (Stat 3)2
• One-pot synthesis of the DPP4-selective inhibitor ABT-341 by a four-component coupling mediated by a diphenylprolinol silyl ether3
• Bicyclic triaminophosphine-promote
• Preparation of amidopropenyl hydroxamates as human histone deacetylase (HDAC) inhibitors5
sulfate (SO42-): ≤100 mg/kg
Specifications
(C2H5O)2P(O)CH2CO2C(CH3)3
Co: ≤50 mg/kg
252.24 g/mol
95%
100-103 °C/1.5 mmHg(lit.)
1.074 g/mL at 25 °C(lit.)
