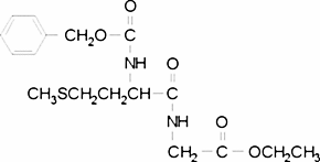
Z-Met-Gly ethyl ester

CAS Number27482-82-2
FormulaC17H24N2O5S
Mol. Weight368.45 g/mol
Z-Met-Gly ethyl ester
What is Z-Met-Gly ethyl ester?
Z-Met-Gly ethyl ester is a chemical compound with CAS number 27482-82-2 and molecular formula C17H24N2O5S. It is used in various industrial and research applications.
Specifications
Molecular Weight
368.45 g/mol
