SB-668875

CAS Number274252-40-3
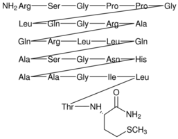
FormulaC120H206N44O35S
SB-668875
What is SB-668875?
SB-668875 is a chemical compound with CAS number 274252-40-3 and molecular formula C120H206N44O35S. It is used in various industrial and research applications.
Specifications
Assay/Purity
≥95% (HPLC)
