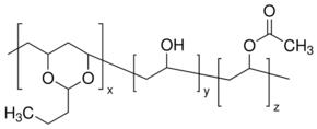
Poly(vinyl butyral-co-vinyl alcohol-co-vinyl acetate)

CAS Number27360-07-2
FormulaN/A
Poly(vinyl butyral-co-vinyl alcohol-co-vinyl acetate)
What is Poly(vinyl butyral-co-vinyl alcohol-co-vinyl acetate)?
Poly(vinyl butyral-co-vinyl alcohol-co-vinyl acetate) is a chemical compound with CAS number 27360-07-2. It is used in various industrial and research applications.
Specifications
Density
1.083 g/mL at 25 °C(lit.)
