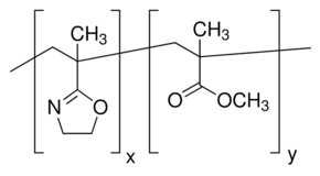
Poly(2-isopropenyl-2-oxazoline-co-methyl methacrylate)

CAS Number27341-60-2
FormulaN/A
Poly(2-isopropenyl-2-oxazoline-co-methyl methacrylate)
What is Poly(2-isopropenyl-2-oxazoline-co-methyl methacrylate)?
Poly(2-isopropenyl-2-oxazoline-co-methyl methacrylate) is a chemical compound with CAS number 27341-60-2. It is used in various industrial and research applications.
Applications
Water soluble cross-linking agent for carboxyl containing polymers.
