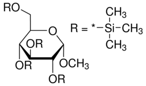
Methyl 2,3,4,6-tetra-O-(trimethylsilyl)-α-D-glucopyranoside

CAS Number2641-79-4
Formula4
Mol. Weight482.91 g/mol
Methyl 2,3,4,6-tetra-O-(trimethylsilyl)-α-D-glucopyranoside
What is Methyl 2,3,4,6-tetra-O-(trimethylsilyl)-α-D-glucopyranoside?
Methyl 2,3,4,6-tetra-O-(trimethylsilyl)-α-D-glucopyranoside is a chemical compound with CAS number 2641-79-4 and molecular formula 4. It is used in various industrial and research applications.
Specifications
Molecular Weight
482.91 g/mol
Assay/Purity
≥96.5%
97%
Frequently Asked Questions
Alternative Names & Synonyms
6-tetra-O-(trimethylsilyl)-α-D-glucopyranoside,2641-79-4, C19H46O6Si4
