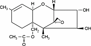
15-Acetoxyscirpenol

CAS Number2623-22-5
FormulaC17H24O6
Mol. Weight324.37 g/mol
15-Acetoxyscirpenol
What is 15-Acetoxyscirpenol?
15-Acetoxyscirpenol is a chemical compound with CAS number 2623-22-5 and molecular formula C17H24O6. It is used in various industrial and research applications.
Specifications
Molecular Weight
324.37 g/mol
Safety Information
GHS06Signal Word
Danger
Hazard Statements
H301
Precautionary Statements
P301 + P310
Required PPE
Eyeshields, Faceshields, Gloves, type P2 (EN 143) respirator cartridges
WGK Germany
3
