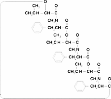
Beauvericin

CAS Number26048-05-5
FormulaC45H57N3O9
Mol. Weight783.95 g/mol
Beauvericin
What is Beauvericin?
Beauvericin is a chemical compound with CAS number 26048-05-5 and molecular formula C45H57N3O9. It is used in various industrial and research applications.
Specifications
Molecular Weight
783.95 g/mol
Assay/Purity
≥97% (HPLC)
