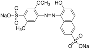
Allura Red AC

CAS Number25956-17-6
FormulaC18H14N2Na2O8S2
Mol. Weight496.42 g/mol
Allura Red AC
What is Allura Red AC?
Allura Red AC is a chemical compound with CAS number 25956-17-6 and molecular formula C18H14N2Na2O8S2. It is used in various industrial and research applications.
Specifications
Molecular Weight
496.42 g/mol
Colour Index Number
16035
