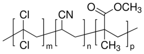
Poly(vinylidene chloride-co-acrylonitrile-co-methyl methacrylate)

CAS Number25214-39-5
FormulaN/A
Poly(vinylidene chloride-co-acrylonitrile-co-methyl methacrylate)
What is Poly(vinylidene chloride-co-acrylonitrile-co-methyl methacrylate)?
Poly(vinylidene chloride-co-acrylonitrile-co-methyl methacrylate) is a chemical compound with CAS number 25214-39-5. It is used in various industrial and research applications.
Applications
Film exhibits good oxygen and water vapor barrier properties.
Specifications
Linear Formula
(CH2CCl2)X[CH2CH(CN)]Y[CH2C(CH3)(CO2CH3)]Z
Density
1.6 g/mL at 25 °C(lit.)
