Poly(vinyl chloride-co-vinyl acetate-co-vinyl alcohol)

CAS Number25086-48-0
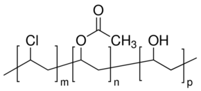
Formula[CH2CH(Cl)]x[CH2CH(O2CCH3)]y[CH2CH(OH)]Z
Poly(vinyl chloride-co-vinyl acetate-co-vinyl alcohol)
What is Poly(vinyl chloride-co-vinyl acetate-co-vinyl alcohol)?
Poly(vinyl chloride-co-vinyl acetate-co-vinyl alcohol) is a chemical compound with CAS number 25086-48-0 and molecular formula [CH2CH(Cl)]x[CH2CH(O2CCH3)]y[CH2CH(OH)]Z. It is used in various industrial and research applications.
Specifications
Linear Formula
[CH2CH(Cl)]x[CH2CH(O2CCH3)]y[CH2CH(OH)]Z
Safety Information
GHS07Signal Word
Warning
Hazard Statements
H315-H319-H335
Precautionary Statements
P261-P305 + P351 + P338
Required PPE
dust mask type N95 (US), Eyeshields, Gloves
WGK Germany
3
