Polystyrene-block-polyisoprene-block-polystyrene

CAS Number25038-32-8
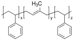
Formula[CH2CH(C6H5)]X[CH2CH=C(CH3)CH2]Y[CH2CH(C6H5)]z
Polystyrene-block-polyisoprene-block-polystyrene
What is Polystyrene-block-polyisoprene-block-polystyrene?
Polystyrene-block-polyisoprene-block-polystyrene is a chemical compound with CAS number 25038-32-8 and molecular formula [CH2CH(C6H5)]X[CH2CH=C(CH3)CH2]Y[CH2CH(C6H5)]z. It is used in various industrial and research applications.
Applications
Component of hot melt adhesives, sealants, asphalt and oil gels. Modifier for polymers, thermosets and general rubber compounding. Direct molded or extruded auto parts, sporting goods, footware and film.
Specifications
Linear Formula
[CH2CH(C6H5)]X[CH2CH=C(CH3)CH2]Y[CH2CH(C6H5)]z
Density
0.93 g/mL at 25 °C
Solubility
solvents with solubility parameters between 7.7 and 9.4: soluble
