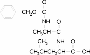
Z-Ala-Leu

CAS Number24959-68-0
FormulaC17H24N2O5
Mol. Weight336.38 g/mol
Z-Ala-Leu
What is Z-Ala-Leu?
Z-Ala-Leu is a chemical compound with CAS number 24959-68-0 and molecular formula C17H24N2O5. It is used in various industrial and research applications.
Specifications
Molecular Weight
336.38 g/mol
