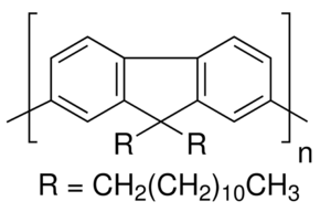
Poly(9,9-di-n-dodecylfluorenyl-2,7-diyl)

CAS Number248256-53-3
FormulaN/A
Poly(9,9-di-n-dodecylfluorenyl-2,7-diyl)
What is Poly(9,9-di-n-dodecylfluorenyl-2,7-diyl)?
Poly(9,9-di-n-dodecylfluorenyl-2,7-diyl) is a chemical compound with CAS number 248256-53-3. It is used in various industrial and research applications.
Specifications
Solubility
chloroform: soluble
methylene chloride: soluble
toluene: soluble
Frequently Asked Questions
Alternative Names & Synonyms
248256-53-3,
