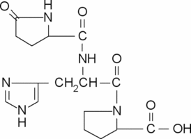
pGlu-His-Pro

CAS Number24769-58-2
FormulaC16H21N5O5
Mol. Weight363.37 g/mol
pGlu-His-Pro
What is pGlu-His-Pro?
pGlu-His-Pro is a chemical compound with CAS number 24769-58-2 and molecular formula C16H21N5O5. It is used in various industrial and research applications.
Specifications
Molecular Weight
363.37 g/mol
Assay/Purity
≥97% (TLC)
