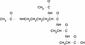
Nα,Nε-Diacetyl-Lys-D-Ala-D-Ala

CAS Number24570-39-6
FormulaN/A
Mol. Weight372.42 g/mol
Nα,Nε-Diacetyl-Lys-D-Ala-D-Ala
What is Nα,Nε-Diacetyl-Lys-D-Ala-D-Ala?
Nα,Nε-Diacetyl-Lys-D-Ala-D-Ala is a chemical compound with CAS number 24570-39-6. It is used in various industrial and research applications.
Specifications
Molecular Weight
372.42 g/mol
Frequently Asked Questions
Alternative Names & Synonyms
C16H28N4O6
