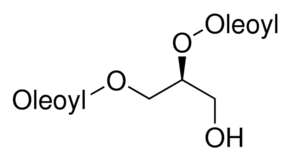
1,2-Dioleoyl-sn-glycerol

CAS Number24529-88-2
FormulaN/A
Mol. Weight620.99 g/mol
1,2-Dioleoyl-sn-glycerol
What is 1,2-Dioleoyl-sn-glycerol?
1,2-Dioleoyl-sn-glycerol is a chemical compound with CAS number 24529-88-2. It is used in various industrial and research applications.
Specifications
Molecular Weight
620.99 g/mol
Assay/Purity
≥98.0% (TLC)
Frequently Asked Questions
Alternative Names & Synonyms
C39H72O5
