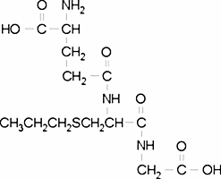
S-Propylglutathione

CAS Number24425-53-4
FormulaC13H23N3O6S
Mol. Weight349.40 g/mol
S-Propylglutathione
What is S-Propylglutathione?
S-Propylglutathione is a chemical compound with CAS number 24425-53-4 and molecular formula C13H23N3O6S. It is used in various industrial and research applications.
Specifications
Molecular Weight
349.40 g/mol
