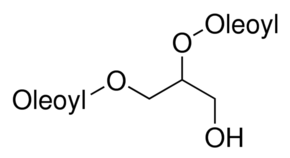
1,2-Dioleoyl-rac-glycerol

CAS Number2442-61-7
FormulaN/A
Mol. Weight620.99 g/mol
1,2-Dioleoyl-rac-glycerol
What is 1,2-Dioleoyl-rac-glycerol?
1,2-Dioleoyl-rac-glycerol is a chemical compound with CAS number 2442-61-7. It is used in various industrial and research applications.
Specifications
Molecular Weight
620.99 g/mol
Assay/Purity
≥97%
Impurities
≤3% 1,3-isomer
Frequently Asked Questions
Alternative Names & Synonyms
C39H72O5
