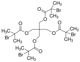
Pentaerythritol tetrakis(2-bromoisobutyrate)

CAS Number243991-62-0
FormulaC21H32Br4O8
Mol. Weight732.09 g/mol
Pentaerythritol tetrakis(2-bromoisobutyrate)
What is Pentaerythritol tetrakis(2-bromoisobutyrate)?
Pentaerythritol tetrakis(2-bromoisobutyrate) is a chemical compound with CAS number 243991-62-0 and molecular formula C21H32Br4O8. It is used in various industrial and research applications.
Applications
Atom Transfer Radical Polymerization (ATRP) initiator for the creation of tetrafunctional polymers.1,2,3
Polymerization will occur at four sites creating a four-arm star polymer.
Specifications
Molecular Weight
732.09 g/mol
Assay/Purity
97%
Safety Information
GHS07Signal Word
Warning
Hazard Statements
H315-H319-H335<br/>sulfate (SO42-): ≤0.001%
Precautionary Statements
P261-P305 + P351 + P338
Melting Point
130-134 °C
WGK Germany
1
