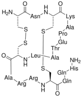
Apamin

CAS Number24345-16-2
FormulaC79H131N31O24S4
Mol. Weight2027.34 g/mol
Apamin
What is Apamin?
Apamin is a chemical compound with CAS number 24345-16-2 and molecular formula C79H131N31O24S4. It is used in various industrial and research applications.
Specifications
Molecular Weight
2027.34 g/mol
Assay/Purity
≥95% (HPLC)
Safety Information
GHS08Signal Word
Danger
Hazard Statements
H334
WGK Germany
3
