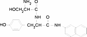
Ser-Tyr β-naphthylamide

CAS Number24008-82-0
FormulaC22H23N3O4
Mol. Weight393.44 g/mol
Ser-Tyr β-naphthylamide
What is Ser-Tyr β-naphthylamide?
Ser-Tyr β-naphthylamide is a chemical compound with CAS number 24008-82-0 and molecular formula C22H23N3O4. It is used in various industrial and research applications.
Specifications
Molecular Weight
393.44 g/mol
Safety Information
GHS08Signal Word
Warning
Hazard Statements
H351
Precautionary Statements
P281
Required PPE
Eyeshields, full-face particle respirator type N100 (US), Gloves, respirator cartridge type N100 (US), type P1 (EN143) respirator filter, type P3 (EN 143) respirator cartridges
WGK Germany
3
