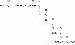
Bradykinin Fragment 1-5

CAS Number23815-89-6
FormulaC27H40N8O6
Mol. Weight572.66 g/mol
Bradykinin Fragment 1-5
What is Bradykinin Fragment 1-5?
Bradykinin Fragment 1-5 is a chemical compound with CAS number 23815-89-6 and molecular formula C27H40N8O6. It is used in various industrial and research applications.
Specifications
Molecular Weight
572.66 g/mol
Assay/Purity
≥97% (HPLC)
