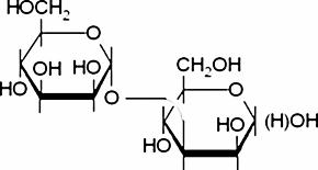
3α-Mannobiose

CAS Number23745-85-9
FormulaC12H22O11
Mol. Weight342.30 g/mol
3α-Mannobiose
What is 3α-Mannobiose?
3α-Mannobiose is a chemical compound with CAS number 23745-85-9 and molecular formula C12H22O11. It is used in various industrial and research applications.
Specifications
Molecular Weight
342.30 g/mol
Assay/Purity
~95%
