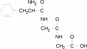
Phe-Gly-Gly

CAS Number23576-42-3
FormulaC13H17N3O4
Mol. Weight279.29 g/mol
Phe-Gly-Gly
What is Phe-Gly-Gly?
Phe-Gly-Gly is a chemical compound with CAS number 23576-42-3 and molecular formula C13H17N3O4. It is used in various industrial and research applications.
Specifications
Molecular Weight
279.29 g/mol
