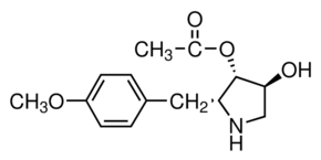
Anisomycin from Streptomyces griseolus

CAS Number22862-76-6
FormulaC14H19NO4
Mol. Weight265.30 g/mol
Anisomycin from Streptomyces griseolus
What is Anisomycin from Streptomyces griseolus?
Anisomycin from Streptomyces griseolus is a chemical compound with CAS number 22862-76-6 and molecular formula C14H19NO4. It is used in various industrial and research applications.
Specifications
Molecular Weight
265.30 g/mol
Assay/Purity
≥98% (HPLC)
Solubility
H2O: soluble2 mg/mL (Aqueous solutions are stable over a wide range of pH at room temperature.)
DMSO: soluble20 mg/mL
methanol: soluble20 mg/mL
Safety Information
GHS06Signal Word
Danger
Hazard Statements
H301
Precautionary Statements
P301 + P310
Required PPE
Eyeshields, Faceshields, Gloves, type P2 (EN 143) respirator cartridges
EC Number
245-269-7
WGK Germany
3
