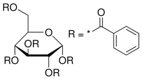
α-D-Glucopyranose pentabenzoate

CAS Number22415-91-4
FormulaC41H32O11
Mol. Weight700.69 g/mol
α-D-Glucopyranose pentabenzoate
What is α-D-Glucopyranose pentabenzoate?
α-D-Glucopyranose pentabenzoate is a chemical compound with CAS number 22415-91-4 and molecular formula C41H32O11. It is used in various industrial and research applications.
Specifications
Molecular Weight
700.69 g/mol
