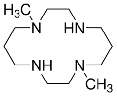
1,8-Dimethyl-1,4,8,11-tetraazacyclotetradecane

CAS Number214078-92-9
Formula4
Mol. Weight228.38 g/mol
1,8-Dimethyl-1,4,8,11-tetraazacyclotetradecane
What is 1,8-Dimethyl-1,4,8,11-tetraazacyclotetradecane?
1,8-Dimethyl-1,4,8,11-tetraazacyclotetradecane is a chemical compound with CAS number 214078-92-9 and molecular formula 4. It is used in various industrial and research applications.
Applications
Reactant for:
• Ferromagnetic coupling of copper(II) and nickel(II) complexes1
• Preparation of cyclam bridged dinuclear platinum(II) complex as an antitumor agent2
• Preparation of dimethylcyclam based fluoroionophore having Hg2+- and Cd2+-selective signaling behaviors3
Specifications
Molecular Weight
228.38 g/mol
Boiling Point
98-99 °C(lit.)
Density
0.944 g/mL at 25 °C(lit.)
Frequently Asked Questions
Alternative Names & Synonyms
8,11-tetraazacyclotetradecane,214078-92-9, C12H28N4
