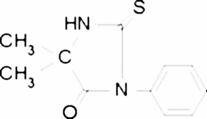
PTH-α-aminoisobutyric acid

CAS Number21083-30-7
FormulaC11H12N2OS
Mol. Weight220.29 g/mol
PTH-α-aminoisobutyric acid
What is PTH-α-aminoisobutyric acid?
PTH-α-aminoisobutyric acid is a chemical compound with CAS number 21083-30-7 and molecular formula C11H12N2OS. It is used in various industrial and research applications.
Specifications
Molecular Weight
220.29 g/mol
