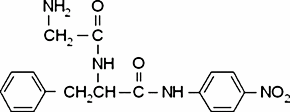
Gly-Phe p-nitroanilide

CAS Number21027-72-5
FormulaC17H18N4O4
Mol. Weight342.35 g/mol
Gly-Phe p-nitroanilide
What is Gly-Phe p-nitroanilide?
Gly-Phe p-nitroanilide is a chemical compound with CAS number 21027-72-5 and molecular formula C17H18N4O4. It is used in various industrial and research applications.
Specifications
Molecular Weight
342.35 g/mol
