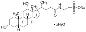
Sodium taurodeoxycholate hydrate

CAS Number207737-97-1
FormulaC26H44NO6SNa
Mol. Weight521.69 (anhydrous basis) g/mol
Sodium taurodeoxycholate hydrate
What is Sodium taurodeoxycholate hydrate?
Sodium taurodeoxycholate hydrate is a chemical compound with CAS number 207737-97-1 and molecular formula C26H44NO6SNa. It is used in various industrial and research applications.
Applications
Bile salt-related, anionic detergent used for isolation of membrane proteins including inner mitochondrial membrane proteins.
Specifications
Linear Formula
C26H44NO6SNa
Molecular Weight
521.69 (anhydrous basis) g/mol
Assay/Purity
95%
Impurities
≤0.002% Phosphorus (P)
≤0.1% Insoluble matter
Solubility
H2O: soluble0.5 M, clear, colorless to faintly yellow
