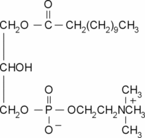
1-Dodecanoyl-sn-glycero-3-phosphocholine

CAS Number20559-18-6
FormulaC20H42NO7P
Mol. Weight439.52 g/mol
1-Dodecanoyl-sn-glycero-3-phosphocholine
What is 1-Dodecanoyl-sn-glycero-3-phosphocholine?
1-Dodecanoyl-sn-glycero-3-phosphocholine is a chemical compound with CAS number 20559-18-6 and molecular formula C20H42NO7P. It is used in various industrial and research applications.
Specifications
Molecular Weight
439.52 g/mol
Assay/Purity
~99%
Appearance
zwitterionic
