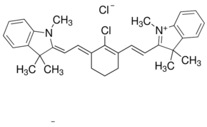
IR-775 chloride

CAS Number199444-11-6
FormulaC32H36Cl2N2
Mol. Weight519.55 g/mol
IR-775 chloride
What is IR-775 chloride?
IR-775 chloride is a chemical compound with CAS number 199444-11-6 and molecular formula C32H36Cl2N2. It is used in various industrial and research applications.
Specifications
Molecular Weight
519.55 g/mol
