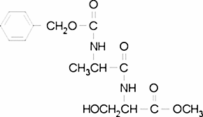
Z-Ala-Ser methyl ester

CAS Number19542-34-8
FormulaC15H20N2O6
Mol. Weight324.33 g/mol
Z-Ala-Ser methyl ester
What is Z-Ala-Ser methyl ester?
Z-Ala-Ser methyl ester is a chemical compound with CAS number 19542-34-8 and molecular formula C15H20N2O6. It is used in various industrial and research applications.
Specifications
Molecular Weight
324.33 g/mol
