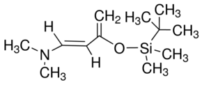
trans-3-(tert-Butyldimethylsilyloxy)-N,N-dimethyl-1,3-butadien-1-amine

CAS Number194233-66-4
FormulaN/A
Mol. Weight227.42 g/mol
trans-3-(tert-Butyldimethylsilyloxy)-N,N-dimethyl-1,3-butadien-1-amine
What is trans-3-(tert-Butyldimethylsilyloxy)-N,N-dimethyl-1,3-butadien-1-amine?
trans-3-(tert-Butyldimethylsilyloxy)-N,N-dimethyl-1,3-butadien-1-amine is a chemical compound with CAS number 194233-66-4. It is used in various industrial and research applications.
Specifications
Linear Formula
(CH3)3CSi(CH3)2OC(=CH2)CH=CHN(CH3)2
Molecular Weight
227.42 g/mol
Assay/Purity
90%
Boiling Point
234 °C(lit.)
Density
0.878 g/mL at 25 °C(lit.)
Safety Information
GHS07Signal Word
Warning
Hazard Statements
H315-H319-H335
Precautionary Statements
P261-P305 + P351 + P338
Required PPE
Eyeshields, full-face respirator (US), Gloves, multi-purpose combination respirator cartridge (US), type ABEK (EN14387) respirator filter
WGK Germany
3
Frequently Asked Questions
Alternative Names & Synonyms
194233-66-4, (CH3)3CSi(CH3)2OC(=CH2)CH=CHN(CH3)2
