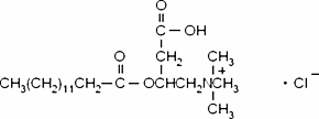
Myristoyl-DL-carnitine chloride

CAS Number18822-89-4
FormulaC21H42NO4Cl
Mol. Weight408.02 g/mol
Myristoyl-DL-carnitine chloride
What is Myristoyl-DL-carnitine chloride?
Myristoyl-DL-carnitine chloride is a chemical compound with CAS number 18822-89-4 and molecular formula C21H42NO4Cl. It is used in various industrial and research applications.
Specifications
Linear Formula
C21H42NO4Cl
Molecular Weight
408.02 g/mol
Safety Information
GHS07Signal Word
Warning
Hazard Statements
H302-H317
Precautionary Statements
P280
Required PPE
dust mask type N95 (US), Eyeshields, Faceshields, Gloves
WGK Germany
3
