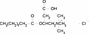
DL-Decanoylcarnitine chloride

CAS Number18822-87-2
FormulaN/A
Mol. Weight351.91 g/mol
DL-Decanoylcarnitine chloride
What is DL-Decanoylcarnitine chloride?
DL-Decanoylcarnitine chloride is a chemical compound with CAS number 18822-87-2. It is used in various industrial and research applications.
Specifications
Molecular Weight
351.91 g/mol
