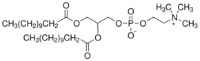
1,2-Didodecanoyl-rac-glycero-3-phosphocholine

CAS Number18656-40-1
FormulaN/A
Mol. Weight621.83 g/mol
1,2-Didodecanoyl-rac-glycero-3-phosphocholine
What is 1,2-Didodecanoyl-rac-glycero-3-phosphocholine?
1,2-Didodecanoyl-rac-glycero-3-phosphocholine is a chemical compound with CAS number 18656-40-1. It is used in various industrial and research applications.
Specifications
Molecular Weight
621.83 g/mol
Assay/Purity
≥99%
Frequently Asked Questions
Alternative Names & Synonyms
C32H64NO8P
