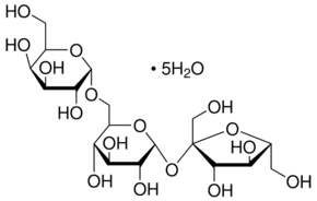
D-(+)-Raffinose pentahydrate

CAS Number17629-30-0
FormulaC18H32O16 · 5H2O
Mol. Weight594.51 g/mol
D-(+)-Raffinose pentahydrate
What is D-(+)-Raffinose pentahydrate?
D-(+)-Raffinose pentahydrate is a chemical compound with CAS number 17629-30-0 and molecular formula C18H32O16 · 5H2O. It is used in various industrial and research applications.
Specifications
Molecular Weight
594.51 g/mol
Assay/Purity
≥99.0% (HPLC)
≥99.0%
Impurities
≤0.0005% Phosphorus (P)
≤0.1% Insoluble matter
Solubility
H2O: soluble0.1 g/mL, clear, colorless
