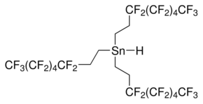
Tris(3,3,4,4,5,5,6,6,7,7,8,8,8-tridecafluorooctyl)tin hydride

CAS Number175354-32-2
Formula4
Mol. Weight1161.01 g/mol
Tris(3,3,4,4,5,5,6,6,7,7,8,8,8-tridecafluorooctyl)tin hydride
What is Tris(3,3,4,4,5,5,6,6,7,7,8,8,8-tridecafluorooctyl)tin hydride?
Tris(3,3,4,4,5,5,6,6,7,7,8,8,8-tridecafluorooctyl)tin hydride is a chemical compound with CAS number 175354-32-2 and molecular formula 4. It is used in various industrial and research applications.
Specifications
Molecular Weight
1161.01 g/mol
Assay/Purity
~90%
Safety Information
GHS07Signal Word
Warning
Hazard Statements
H315-H319-H335
Precautionary Statements
P261-P305 + P351 + P338
Required PPE
Eyeshields, full-face respirator (US), Gloves, multi-purpose combination respirator cartridge (US), type ABEK (EN14387) respirator filter
WGK Germany
1
Frequently Asked Questions
Alternative Names & Synonyms
4,5,5,6,6,7,7,8,8,8-tridecafluorooctyl)tin hydride,175354-32-2, C24H13F39Sn
